湘阴县人民政府 农业农村局
政府信息公开
政府信息公开指南
法定主动公开内容
机构概况
部门文件
规划计划
通知公告
人事公开
业务工作
资金信息
信息公开年度报告
依 申 请公 开
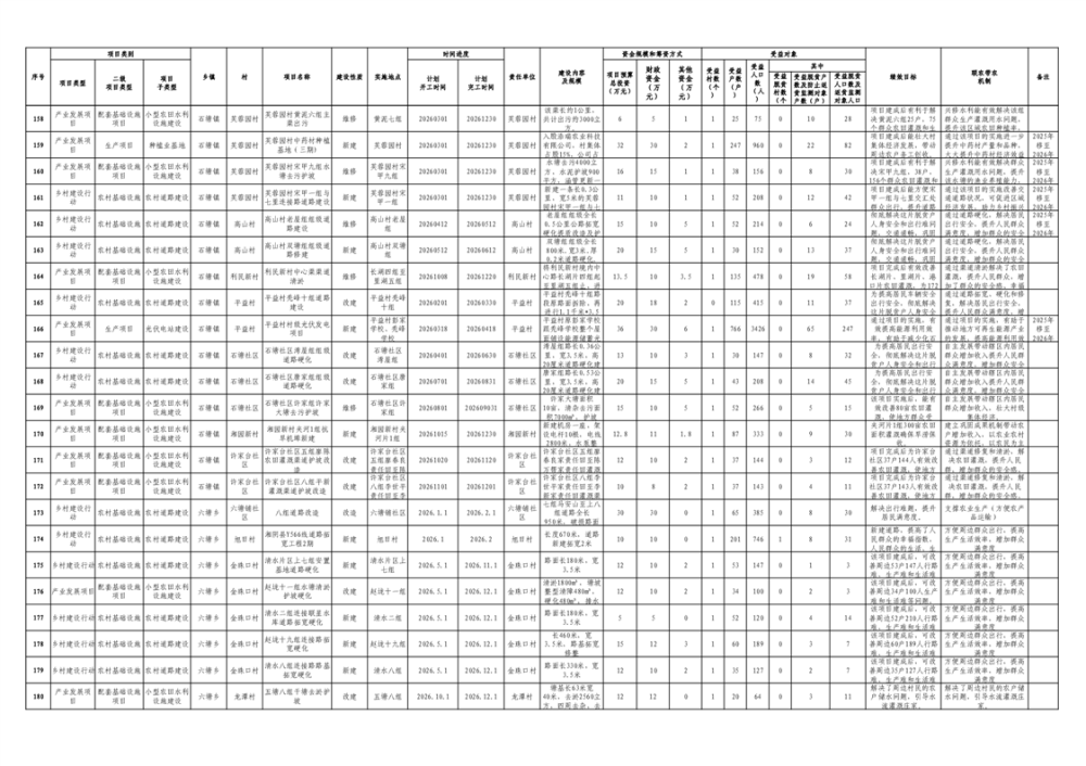
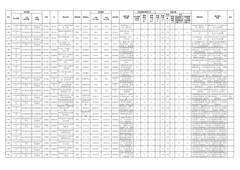
关于下达2026年度巩固拓展脱贫攻坚成果和乡村振兴项目计划的通知
来源: 湘阴县农业农村局
发布时间: 2025-12-10 10:47
浏览次数:
1